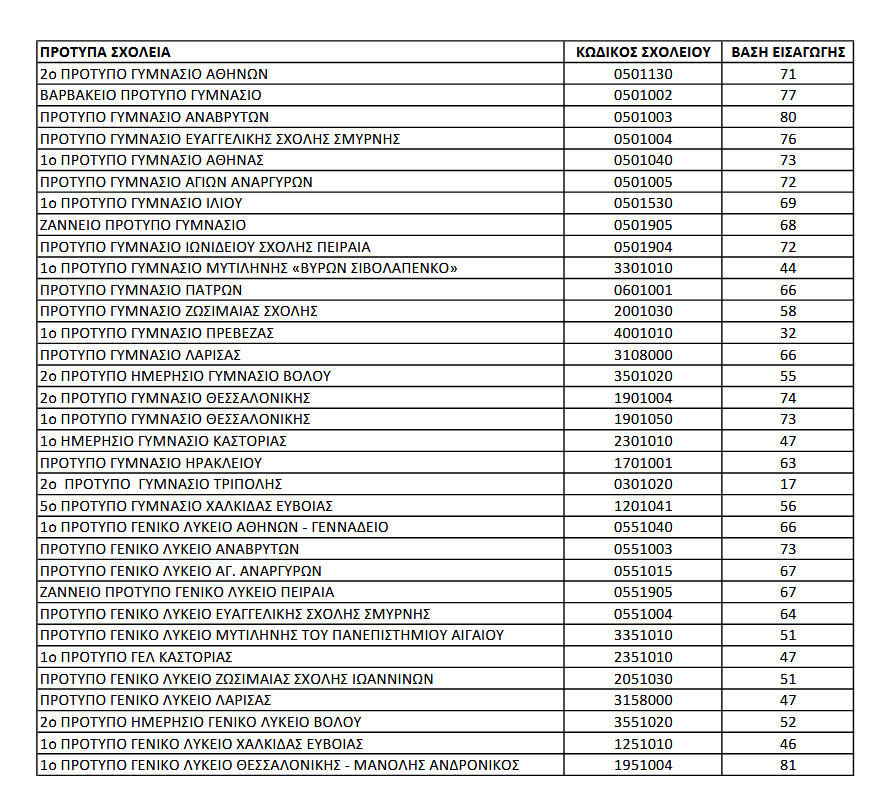
Ανακοινώθηκαν από το Υπουργείο Παιδείας οι βάσεις εισαγωγής για τα τα Πρότυπα, Πειραματικά και Ωνάσεια Σχολεία για το σχολικό έτος 2025 – 26.
Σύμφωνα με την ανακοίνωση του Υπουργείου Παιδείας:
Από τους 12.595 μαθητές που είχαν καταθέσει έγκυρες αιτήσεις, διαγωνίσθηκαν 11.127 μαθητές για:
- 1.827 θέσεις στα 34 Πρότυπα Γυμνάσια και Λύκεια σε 16 Δευτεροβάθμιες Διευθύνσεις της χώρας,
- 427 θέσεις στα 13 Πρότυπα Εκκλησιαστικά Σχολεία σε 9 Δευτεροβάθμιες Διευθύνσεις της χώρας, και τέλος,
- 1166 θέσεις για 12 Δημόσια Ωνάσεια Σχολεία σε 6 Δευτεροβάθμιες Διευθύνσεις της χώρας.
